Ph Wert Berechnen Formel

Ph Wert Berechnen Formeln Aufgaben Mit Video

Berechnung Von Konzentrationen Mithilfe Des Ph Wertes Inkl Ubungen

Weitere Rechnungen Rund Um Den Ph Wert Von Sauren Basen Und Salzlosungen Pdf Free Download

Ph Wert Berechnen Formeln Aufgaben Mit Video

Pr Nasschemische Arzneibuchanalytik Teil Ii

Saure Base Titration
Aber was ist pKs und.

Ph wert berechnen formel. Wir benutzen die Formel für die Berechnung des pOHWertes. PHWert starker Säuren Der pHWert starker Säuren wie Salzsäure entspricht dem negativen dekadischen Logarithmus der Konzentration der Säure Berechnung des pHWertes pH = log 10 c(H ) Berechnungsbeispiel 1 Liter Salzsäure wurde mit 0,2 mol Chlorwasserstoff hergestellt, damit ergibt sich die Konzentration c c(H 3 0 ) = c(HCl) = 0,2 mol · L1 Für den pHWert erhält man. CO2 Berechnung in einem Aquarium Diese Methode lässt es zu den CO2 Wert in einem Aquarium aufgrund des PH Wertes und der Karbonathärte zu bestimmen Die entsprechende Formel und das Berechnungstool findet ihr bei uns auf aquaristikorg.
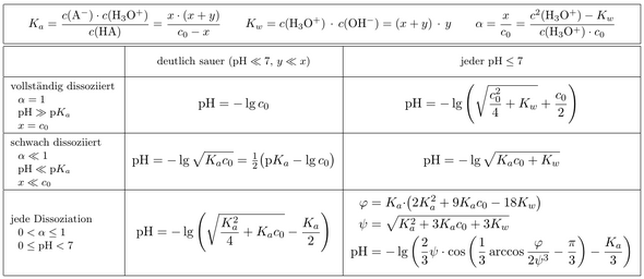
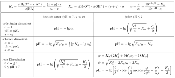
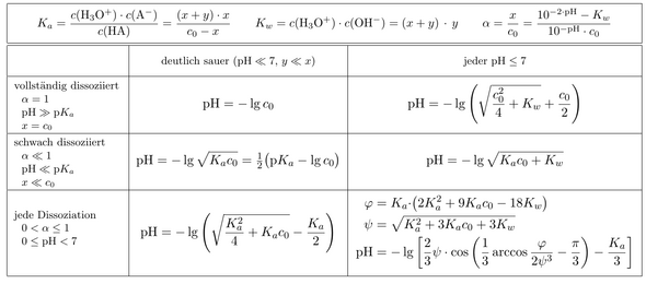
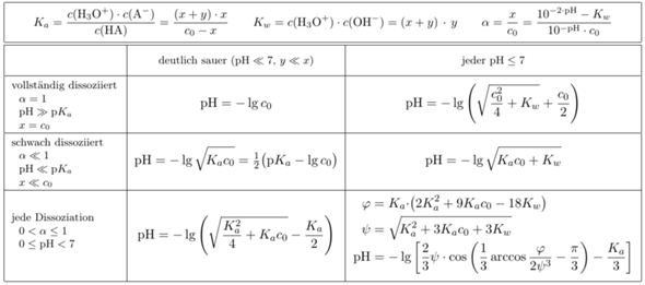
Es folgt die angegebene Näherungsformel c(OH) = K B * c B 1/2 und deren logarithmierte "alternative Formel" Der pHWert wird mit pH = 14 pOH errechnet Der Vorteil dieses Wegs über OH ist, dass gleichartige Ableitungen und Formeln wie für die Säure benutzt werden. Die gesamte pHWertBerechnung für Säuren beruht auf folgenden vier Formeln = Die große pHFormel Bearbeiten Es ist nun durch Einsetzen möglich, eine Gleichung dritten Grades zu erhalten, über die die Konzentration der Teilchen in. 35 ml reine Essigsäure (1,0 g*ml^1) wurden mit Wasser auf einen Liter aufgefüllt Berechnen Sie den pHWert Ich verstehe diese Aufgabe gar nicht Ich meine ich habe die Dichte und Das jeweilige Volumen gegeben, aber wie rechne ich damit weiter?.
PHWert einer extrem verdünnten Säure Wie groß ist der pHWert einer 108 molaren Salzsäure?. Berechnung des pHWertes bei schwachen Säuren Wie wir bereits bei der pHBerechnun von starken Säuren gesehen haben, berechnet man den pHWert einer wässrigen Säure aus dem negativen dekadischen Logarithmus der Konzentration der Oxoniumionen. Wir müssen pHWerte berechnen Die Formel dazu habe ich auch (mit dem negativen dekadischen Logarithmus der Oxoniumkonzentration) Nun habe ich einfach nur die Angabe 0,1mol/L HCl und soll dazu den pHWert berechnen Aber woher nehme ich dafür die Oxoniumkonzentration?.
Berechnung des pHWertes Wenden Sie zur Berechnung des pHWerts die Formel pOH = log an Berechnen Sie log = 1 Wenden Sie als Nächstes die Formel pH pOH = 14 an Um den pHWert zu isolieren, berechnen Sie 14 1 = 13 Der pHWert Ihrer NaOHLösung beträgt 13. PHWert pHWert einer starken Säure pH = log c 0 (HA) Eine starke Säure dissoziiert vollständig, c(H 3 O ) = c 0 (HA) pHWert einer schwachen Säure (Wasser ist im Überschuß vorhanden c(H 2 O) = const) c(H 3 O ) = c(A) c 2 (H 3 O ) = K S ·c 0 (HA) pH = log c(H 3 O ) Diese pHWertBerechnung ist nur eine angenäherte Formel, die für die praktische Anwendung jedoch. Berechnen sie den pHwert der Ethansäure 2)a)welchen pHwert besitzt eine wässrige Ammoniaklösung mit der Anfangskonzentration 0,1 mol/l (pKb=4,63) (0,04 mol/l), da Essigsäure aber eine schwache Säure ist, gilt die og pHWert Formel die den pKSWert berücksichtigt ("Korrekturfaktor da die Säure nicht zu 100% dissoziiert).
Um sich in der Formelsammlung zur pHWert Berechnung zu Recht zu finden, muss einem zunächst klar sein, dass sich aus den ganzen Formeln die in meinem Beitrag pHWert Berechnung 1 Einführung gezeigt werden eine kubische Gleichung herleiten lässt, genannt die große pHFormel Diese ist leider nicht so ohne weiteres lösbar. Der pHWert lässt sich bei bekannter Konzentration an Säuren und Basen in einer wässrigen Lösung auch berechnen So entspricht der pHWert starker Säuren dem negativen dekadischen Logarithmus der Konzentration der Säure, da man davon ausgeht, dass die Konzentration der Säure der der Oxoniumionen entspricht und die Autoprotolyse des. Top Bilder von Formeln Ph Wert Berechnung Referenz Herzlich willkommen Formeln Ph Wert Berechnung 21 Durchsuche formeln ph wert berechnung Referenzund formel ph wert berechnung Zurück zuhause.
In der Wissenschaft misst der pHWert die Ionen in einer Lösung Wenn du einen Biologie oder Chemiekurs besuchst, musst du vielleicht wissen, wie man den pHWert aus einer Stoffmengenkonzentration berechnet Du kannst den pHWert mit folgender Formel berechnen pH = logH3O. Beispiel 3 Berechnen Sie pH und pOH der Lösung containging 0,1 M H3PO4 (pKa1 = 2,12, pKa2 = 7,21, pKa3 = 12,67)?. PH Wert berechnen starke Säuren Formel Bei sehr starken Säuren liegt dabei das Gleichgewicht komplett auf der dissoziierten ProduktseiteDies gilt nur für Säuren, die einen pKsWert von kleiner 1 haben Das gilt zum Beispiel für Salzsäure und Schwefelsäure Wenn man berechnen will, wie hoch nach Zugabe einer starken Säure der pH Wert dieser Lösung ist, nimmt man an, dass die Säure.
Den pHWert erhalten wir aus der bekannten Formel pH=14pOH Und nun ein Übungsbeispiel, welchen pHWert hat eine Ammoniaklösung mit einer Konzentration von 0,0001 mol/l in Wasser?. So lässt sich der pHWert bei starken Basen folgendermaßen berechnen \begin{align*} pH =14 \lg \left( c_0({A^{}}) \right) \end{align*} Schwache Basen Auch bei schwachen Basen funktioniert die pHWertBerechnung mit derselben Formel wie bei schwachen Säuren, nur, dass wir wieder aufpassen müssen, dass dadurch zunächst der pOHWert. Der pHWert ist ein Maß für die Konzentration von Protonen in einer Lösung Der Zahlenwert gibt die Konzentration als negativen dekadischen Logarithmus an Je weniger freie Protonen in einer Lösung vorhanden sind, desto größer ist der pHWert Ist die Protonenkonzentration in einer Lösung hoch, dh der pHWert niedrig, spricht man von einer sauren Lösung, ist der.
Berechnen sie den pHWert einer 0,5 mol/L Ammoniumnitratlösung (pKb = 4,75) Meine Ideen Ideen, Ansätze da scheiterts schon mal und somit excellentnaeherungsweise mit der formel fuer die berechnung des pH schwacher saeuren hier zu operieren ist genau die will man in der anwendung aufs problem hier wohl sehen von dir). Die Formel für die pHWert ist pH = log H Dies bedeutet, pH ist der negative Basis 10 Logarithmus ( „log“ auf einem Rechner) der WasserstoffionenKonzentration einer Lösung Um es zu berechnen, nehmen das Protokoll der Wasserstoffionenkonzentration und umgekehrt die Zeichen, um die Antwort zu bekommen. Und heraus kommt eine Formel, mit der Du für alle Messwerte zwischen ADCWert1 und ADCWert2 einen "richtigen" PHWert herausbekommst (in dem Fall ein PHWert zwischen 40 und 70) Wenn Du eine dynamische Kalibrierung bei laufendem Programm möchtest, dann spendierst Du dem Gerät zwei Tastschalter, einen Schalter für Kalibrieren40 und.
Es folgt die angegebene Näherungsformel c(OH) = K B * c B 1/2 und deren logarithmierte "alternative Formel" Der pHWert wird mit pH = 14 pOH errechnet Der Vorteil dieses Wegs über OH ist, dass gleichartige Ableitungen und Formeln wie für die Säure benutzt werden. Der pHWert ist der negative dekadische Logarithmus der Wasserstoffionenkonzentration Das klingt kompliziert, ist aber nach ein paar Beispielen ganz einfach pH = log H Protonen (= HIonen) gibt es eigentlich nur im Vakuum In Wasser bilden sich höher hydratisierte Ionen (H3O, H9O4, usw) Man schreibt immer nur H3O und beim pHWert lässt man auch. Aufgabe ist die exakte pHWert Berechnung von 0,05M H2SO4 Die Lösung des Problems hab ich im Grunde schon gefunden, der einzige Haken ist dass ich es nicht schaffe die Gleichung in die allgemeine Formel umzuwandeln um die allgemeine Lösungsformel anzuwenden.
PH Berechnungen (IV) Die Aufgaben mit ausführlichem Lösungsweg Wenn nichts anderes hingeschrieben ist, sind bei Zwischenrechnungen und Ergebnissen die Konzentrationen in der Einheit mol/l angegeben. Der pHWert ist ein Maß für die Konzentration von WasserstoffIonen bzw HydroniumIonen in einer Lösung Der Zahlenwert gibt die Konzentration als negativen dekadischen Logarithmus an Je weniger WasserstoffIonen in einer Lösung vorhanden sind, desto größer ist der pHWert Saure Lösungen weisen einen pHWert von weniger als 7,0 und basische Lösungen einen pHWert über 7,0. PHWert, Berechnung von pHWerten, pksWert 1) Der pHWert gibt an, wie sauer oder basisch eine wässrige Lösung wirkt Bildet man den negativen dekadischen Logarithmus der Konzentration der Oxoniumionen (H3O ), so erhält man den pHWert Æ pH = lg c(H 3 O ) pHWertBerechnung starker Säuren.
35 ml reine Essigsäure (1,0 g*ml^1) wurden mit Wasser auf einen Liter aufgefüllt Berechnen Sie den pHWert Ich verstehe diese Aufgabe gar nicht. PHWerte berechnen – Lösungen Stofflösung Säure/ Base Stark/ schwach Formel für Berechnung Konzentration mol/l pHWert HCl(aq) Säure Stark pH = log10 HCl 0003 25 NH3(aq) Base Schwach. Berechnung des pHWertes bei schwachen Säuren Wie wir bereits bei der pHBerechnun von starken Säuren gesehen haben, berechnet man den pHWert einer wässrigen Säure aus dem negativen dekadischen Logarithmus der Konzentration der Oxoniumionen.
Lewis Formel Dauer 0518 54 Fischer Projektion Dauer 0514 Chemie Grundlagen Bindungsmodelle 55 pH Wert Dauer 0426 70 pH Wert berechnen Dauer 0402 71 pKs Wert Dauer 0423 72 Isoelektrischer Punkt Dauer 0416 73 Ionenprodukt des Wassers. Den pHWert erhalten wir aus der bekannten Formel pH=14pOH Und nun ein Übungsbeispiel, welchen pHWert hat eine Ammoniaklösung mit einer Konzentration von 0,0001 mol/l in Wasser?. Ich habe hier die Farbskalen von einigen für euch mitgebracht Betrachten wir einmal Thymolblau So ziemlich in der Mitte gibt es einen interessanten grünen Bereich Dort ist ein pHWert von etwa 8,5 Wir wollen die Protonenkonzentration berechnen Die Formel kennt ihr bereits CH ist gleich minus und jetzt setze ich den pHWert ein, 8,5 mol/l.
Wir benutzen die Formel für die Berechnung des pOHWertes. – stets derselbe bleibt, kann diese Formel nur als sehr grobe Näherung für nicht allzu stark verdünnte Lösungen (c 0 ≥ 0,1 mol/l) von Ampholyten dienen, deren Säurekonstanten dazu. Achtung Da der pHWert in diesen Fällen unabhängig von der Ausgangskonzentration c 0 der Intermediatform HA– selbst für den Grenzfall c 0 →0!.
Die pHWert Berechnung für Schwefelsäure hat sich letzlich als nicht schwierig lösbares Problem dargestellt Um so erstaunlicher ist die offenbar weit verbreitete Verwirrung bei den Lösungsansätzen Sehr aufwendig wird die Lösung solcher Gleichungssysteme nur dann, wenn die Hydrolysekonstanten mehrbasischer Säuren nahe beieinander liegen. Ist die identisch mit der HClKonzentration?. PHWert in Wasser und wäßrigen Lösungen (Säuren, Basen, Salze, Salzgemische) phBerechnung und Ermittlung des pH mit dem HäggDiagramm Letzte Überarbeitung Inhaltsverzeichnis.
11 pHWert 4 12 pOHWert 5 13 pHWert f ur starke S auren 5 14 pHWert f ur schwache S auren 5 15 pHWert f ur starke Basen 5 16 pHWert f ur schwache Basen 5 17 HendersonHasselbalchGleichung 6 18 Nernstsche Gleichung 6 1 1 Avogadro Konstante N A Die AvogadroKonstante N A ist der. Der pHWert ist ein Maß für den sauren oder basischen Charakter einer wässrigen LösungEr ist die Gegenzahl des dekadischen Logarithmus (Zehnerlogarithmus) der WasserstoffionenAktivität und eine Größe der Dimension Zahl Eine verdünnte wässrige Lösung mit einem pHWert von weniger als 7 nennt man sauer, mit einem pHWert gleich 7 neutral und mit einem pHWert von mehr als 7 basisch. Um die Berechnung zu verstehen, leiten wir uns zunächst einmal die Formel über das Massenwirkungsgesetz her Betrachten wir hierfür zuerst eine allgemeine SäureBaseReaktion in wässriger Lösung Wenn du nun das Massenwirkungsgesetz anwendest, erhältst du die Formel für die Gleichgewichtskonstante Da sich diese Größe im chemischen Gleichgewicht nicht verändert und die.
Analog zum SäureSchema berechnet man auch den pHWert einer starken Base c(H 3 O muss dann nur durch c(OH) ersetzt werden!. Top Bilder von Formeln Ph Wert Berechnung Referenz Herzlich willkommen Formeln Ph Wert Berechnung 21 Durchsuche formeln ph wert berechnung Referenzund formel ph wert berechnung Zurück zuhause. Der pHWert lässt sich bei bekannter Konzentration an Säuren und Basen in einer wässrigen Lösung auch berechnen So entspricht der pHWert starker Säuren dem negativen dekadischen Logarithmus der Konzentration der Säure, da man davon ausgeht, dass die Konzentration der Säure der der Oxoniumionen entspricht und die Autoprotolyse des.
Berechnung des pHWertes starker Säuren Löst man eine oder mehrere Säuren in Wasser, so gilt für den pHWert der Lösung definitionsgemäss pH = – log H 3 O Zur Berechnung des pHWerts muss zwischen Lösungen starker und schwacher Säuren unterschieden werden. Isoelektrischer Punkt einfach erklärt Der isoelektrische Punkt (auch IEP, iP, pI, pH I genannt) ist der pHWert , an dem ein Molekül isoelektrisch ist, also nach außen hin neutralEin isoelektrischer Punkt kommt sowohl bei Zwitterionen als auch bei Ampholyten vor Bei Aminosäuren tragen nicht nur die Amino und die Säuregruppe zum isoelektrischen Punkt bei, sondern auch die Reste, welche. Wir benutzen die Formel für die Berechnung des pOHWertes.
Die Formel für die pHWert ist pH = log H Dies bedeutet, pH ist der negative Basis 10 Logarithmus ( „log“ auf einem Rechner) der WasserstoffionenKonzentration einer Lösung Um es zu berechnen, nehmen das Protokoll der Wasserstoffionenkonzentration und umgekehrt die Zeichen, um die Antwort zu bekommen. 352 pHWertBerechnung Wird eine starke Säure 1 10 verdünnt, so nimmt ihr pHWert um 1 zu, wird sie 1 100 verdünnt, nimmt der pHWert um 2 zu, bei einer Verdünnung von 1 1000 um 3 etc Bei Basen nimmt der pHWert durch Verdünnung entsprechend ab Umgekehrt verhält es sich beim Konzen trieren starker Säuren/ Basen. Der pHWert errechnet sich durch den negativ dekadischen Logarithmus der Oxoniumionen Hier ein Beispiel Wenn die Konzentration der Oxoniumionen (H3O) beispielsweise bei c = 0,01 mol=L liegt, dann können wir den pHWert berechnen, indem wir auf die Konzentration zunächst den Zehnerlogarithmus (lg) anwenden und anschließend noch das.
Berechnung bei schwachen Säuren / Basen I Protolyseschema Beispiel Ammoniumchloridlösung NH 4 H 2 O H 3 O NH 3 II Fallunterscheidung Ammoniumchloridlösung hat einen pK sWert von 924 und ist somit. Den pH Wert kannst du schlussendlich über die Formel für schwache Basen berechnen Den dafür benötigten pKb Wert des Formiats erhältst du über den obigen pKs Wert der Ameisensäure von 3,77 → pKb = 14 pKs = 10,23 pH = 14 0,5 * pKb 0,5 * log (c 0) pH = 14 0,5 * 10,23 0,5 * log (0,060) = 8,27 Schöne Grüße ). Man vergleiche den mit aqion berechneten Wert mit der exakten Lösung des Gleichungssystems 1 Numerische Lösung mit aqion Wir beginnen mit reinem Wasser (Taste H2O), danach Taste ReacIn das Listenfeld wird für HCl der Wert 105 mmol/L eingetragen – siehe Bild rechts 1 Danach StartTaste.
Berechnen sie den pHWert einer 0,5 mol/L Ammoniumnitratlösung (pKb = 4,75) Meine Ideen Ideen, Ansätze da scheiterts schon mal und somit excellentnaeherungsweise mit der formel fuer die berechnung des pH schwacher saeuren hier zu operieren ist genau die will man in der anwendung aufs problem hier wohl sehen von dir). Der pHWert ist der negative dekadische Logarithmus der Wasserstoffionenkonzentration Das klingt kompliziert, ist aber nach ein paar Beispielen ganz einfach pH = log H Protonen (= HIonen) gibt es eigentlich nur im Vakuum In Wasser bilden sich höher hydratisierte Ionen (H3O, H9O4, usw) Man schreibt immer nur H3O und beim pHWert lässt man auch. PHWertBerechnung Reines Wasser enthält bei 22°C pro Liter 1*107 mol Hydroniumionen (=Oxoniumionen) und ebenso viele Hydroxidionen Diese relativ kleinen Werte werden in der Regel durch den negativen dekadischen Logarithmus ausgedrückt pH = log H pOH = log OH.
1 Einführung Um den pHWert berechnen zu können, muss man einige Punkte beachten Zudem wird hier zwischen der Stärke der behandelnden Säuren und Basen unterschieden 2 Starke Säuren Eine starke Säure ist dadurch erkennbar, dass sie einen pK s < 1 aufweist und somit in wässriger Lösung praktisch vollständig dissoziiertDas bedeutet Aus jedem Molekül einer Säure HA bildet sich. PH Wert berechnen starke Säuren Formel Bei sehr starken Säuren liegt dabei das Gleichgewicht komplett auf der dissoziierten ProduktseiteDies gilt nur für Säuren, die einen pKsWert von kleiner 1 haben Das gilt zum Beispiel für Salzsäure und Schwefelsäure Wenn man berechnen will, wie hoch nach Zugabe einer starken Säure der pH Wert. Den pHWert erhalten wir aus der bekannten Formel pH=14pOH Und nun ein Übungsbeispiel, welchen pHWert hat eine Ammoniaklösung mit einer Konzentration von 0,0001 mol/l in Wasser?.
Der pHWert ist ein Maß für die Konzentration von Protonen in einer Lösung Der Zahlenwert gibt die Konzentration als negativen dekadischen Logarithmus an Je weniger freie Protonen in einer Lösung vorhanden sind, desto größer ist der pHWert Ist die Protonenkonzentration in einer Lösung hoch, dh der pHWert niedrig, spricht man von einer sauren Lösung, ist der. CO2 Berechnung in einem Aquarium Diese Methode lässt es zu den CO2 Wert in einem Aquarium aufgrund des PH Wertes und der Karbonathärte zu bestimmen Die entsprechende Formel und das Berechnungstool findet ihr bei uns auf aquaristikorg.

Ph Wert Von Nh4cl Berechnen Chemie Ph Wert Berechnen

Kann Man Mithilfe Der Formel Fur Den Ph Wert Der Mittelstarker Sauren Alle Ph Werte Aller Sauren Genau Berechnen Schule Chemie Biologie

Inhaltsfeld 2

Puffer Stoffgemisch Studyhelp Online Lernen

Fachrechnen Inhalte Der Abschlussprufungen Teil 2 Fotschki De
2

Sb 35 Ubungsaufgaben Zum Thema Berechnung Von Titrationskurven Chemiestunde Bei Herrn Griesar

Puffer Stoffgemisch Studyhelp Online Lernen

Rebeka 2 User Manual

Ph Wert Berechnung Fur Starke Sauren Basen Starke Saure Vollstandige Dissoziation H 3 O 10 1 Mol L Ph 1 Pdf Kostenfreier Download
Studienseminar Rlp De Fileadmin User Upload Studienseminar Rlp De Gy Ko Fachseminare Chemie Unterrichtsentwuerfe Kurzentwurf Sek I Schwerpunkt Erkenntnisgewinnung Pdf

Ph Wert Von Salzsaure Berechnen Schule Chemie Chemieunterricht

Der Ph Wert Und Seine Herleitung Youtube

Prof Blumes Medienangebot Chemische Gleichgewichte Und Massenwirkungsgesetz

Ph Und Poh Wert Bei Schwachen Sauren Und Basen Berechnen Youtube

Ph Wert Anorganische Chemie Abitur Vorbereitung

Frage Zu Ph Wert Berechnung Schule Chemie Ph Wert Berechnen

Kohlendioxid Co2 Berechnen Fischlexikon

Ph Wert Berechnung 1 Einfuhrung Explain It Arium
Www Medi Learn De Examen Pdfs 15 Ch1 56b8d335bc6b38f8d8db4bd10eddc6 Pdf

Ph Wert Berechnung Fur Starke Sauren Basen Starke Saure Vollstandige Dissoziation H 3 O 10 1 Mol L Ph 1 Pdf Kostenfreier Download

Formeln Zur Ph Wert Berechnung Explain It Arium

Prof Blumes Medienangebot Chemische Gleichgewichte Und Massenwirkungsgesetz

Formelsammlung Chemie Berechnung Des Ph Wertes Wikibooks Sammlung Freier Lehr Sach Und Fachbucher

Puffer Anorganische Chemie Abitur Vorbereitung

Prufungsfragenkatalog Fur Einfuhrung In Die Pharmazeutische Analytik Auswertung Validierung Prof Astrid Ortner Pdf Kostenfreier Download

Pr Nasschemische Arzneibuchanalytik Teil Ii

Was Ist Ammonium Ammoniak Wiki

Ph Wert Berechnung Fur Starke Sauren Basen Starke Saure Vollstandige Dissoziation H 3 O 10 1 Mol L Ph 1 Pdf Kostenfreier Download

Ph Wert Berechnung Wasser Losungen Von Sauren Basen Und Salzen Hagg Diagramm

Der Ph Wert Theoretische Grundlagen Berechnungen Und Praktische Messung Pdf Kostenfreier Download

Formelsammlung Chemie Berechnung Des Ph Wertes Wikibooks Sammlung Freier Lehr Sach Und Fachbucher

Formeln Zur Ph Wert Berechnung Explain It Arium

Sauren Und Basen Chemgapedia

4 2 Basestarke Der Pkb Wert

Saurestarke Bs Wiki Wissen Teilen
Www2 Klett De Sixcms Media Php 229 0600 Loe Durchblick Pdf
Kurs Ph Wert Berechnung Gleichungen Wikiversity

Chemieprojekt Fh41
Www Uni Marburg De Fb15 Studium Praktika Nebenfach Bioprakt Uebung Korr Pdf

Formelsammlung Chemie Berechnung Des Ph Wertes Wikibooks Sammlung Freier Lehr Sach Und Fachbucher

Formeln Zur Ph Wert Berechnung Explain It Arium

Formelsammlung Chemie Berechnung Des Ph Wertes Wikibooks Sammlung Freier Lehr Sach Und Fachbucher
Http Www Org Chemie Uni Muenchen De Ac Kornath Site Assets Files 1033 17 Ph Berechnung Pdf
Http Www Uni Saarland De Fileadmin User Upload Professoren Fr81 Profhegetschweiler Ac Ii Ac2 Uebung 5 Loesung Pdf

Sb 24 Formeln Zur Ph Wert Berechnung Von Sauren Und Basen Chemiestunde Bei Herrn Griesar

Ph Wert Bei Schwachen Sauren Und Basen Herleitung Youtube
Dissoziationsgrad Wikipedia

Arbeitsblatt Lk Sauren Basen Chemie Sauren Basen

Pks Und Pkb Werte Berechnen Studyhelp Online Lernen
Www Avh Gd De Fileadmin User Upload Aufgaben Corona 24 03 12 Chemie Aufgaben 2 Woche Pdf

Die Starke Von Sauren Und Basen In Wassriger Losung

Ph Werte Berechnen Vereinfacht Schule

Ph Wert Berechnen Chemie Ph Wert Sauren Und Basen

Ph Wert Von Salzlosungen Erklart Inkl Ubungen
1

Ph Wert Berechnen Schwache Saure Mit Starker Base Chemie Biologie

Freies Lehrbuch Anorganische Chemie 24 Saure Base Gleichgewichte

Ph Wert Berechnung Fur Starke Sauren Basen Starke Saure Vollstandige Dissoziation H 3 O 10 1 Mol L Ph 1 Pdf Kostenfreier Download

Ph Wert Definition Skala Tabelle Bedeutung Mit Video

2 Der Ph Wert

Ph Wert Berechnen Gehe Auf Simpleclub De Go Werde Einserschuler Youtube

Berechnung Des Ph Wertes
Http Www Peraugym At Chemie Lh Ueph1 Pdf

Ph Wert Berechnen Fur Gegebene Losung Chemie Ph Wert Berechnen

Inhaltsfeld 2
Www Chemie Uni Hamburg De Studium Dokumente 09 Sauere Base2 Pdf

Ph Wert Berechnung Bei Sehr Starken Sauren Youtube

Klassewasser De Ph Wert Einfuhrung Jugendliche

Berechnung Des Ph Werts Schwacher Sauren

Einen Ph Wert Berechnen Wikihow

Q12 Ph Wert Schwacher Sauren Youtube
Www Uni Marburg De Fb15 Studium Praktika Nebenfach Bioprakt Ss11 Ueb1 Prakt Bio Pdf

Prof Blumes Medienangebot Wasser Und Leben

Ph Berechnungen Und Saure Base Titrationen Pdf Kostenfreier Download

Formeln Zur Ph Wert Berechnung Explain It Arium

Herleitung Der Parameter Massenwirkungsgesetz

Weitere Rechnungen Rund Um Den Ph Wert Von Sauren Basen Und Salzlosungen Pdf Free Download

Berechnung Des Ph Wertes

Autoprotolyse Des Wassers Ph Wert Erklarung Ubungen
Ph Wert Einer Extrem Verdunnten Saure

Formeln Zur Ph Wert Berechnung Explain It Arium

Exakte Ph Wert Berechnung 2 Dissoziationsgrad Von Sauren Youtube
Www Cup Lmu De Ac Kornath Site Assets Files 1033 17 Ph Berechnung Pdf

Flexiessay Berechnung Von Ph Werten Doccheck Flexikon
Http Www Peraugym At Chemie Lh Ueph1 Pdf

Inhaltsfeld 2

Kapitel 2 Aufgaben Zu Saure Base Reaktionen Verb Uploads

Ph Wert Atariuptodate

Ph Wert Bei Zweiprotonigen Sauren Chemie Naturwissenschaft

Sb 24 Formeln Zur Ph Wert Berechnung Von Sauren Und Basen Chemiestunde Bei Herrn Griesar

Einfuhrung Ph Und Poh Wert Berechnung Bei Starken Sauren Und Basen Youtube

Ph Wert Definition Und Berechnung In Chemie Schulerlexikon Lernhelfer

Ph Wert Berechnung Bei Sehr Starken Sauren Youtube

Ph Wert Berechnung Einfuhrung Erklart Inkl Ubungen